Ramón Fernández-Pacheco Monterreal
Ramón Fernández-Pacheco Monterreal
AEOFRUSE
O.P.R. Alcalá Sierra Frailes
APROL Sierra de Segura
ASAJA Andalucía
Banco de Andalucía
Banco Popular S.A.
Banesto - Banco Español de Crédito
Barclays Bank
BBVA - Banco Bilbao Vizcaya Argentaria
BSCH - Banco Santander Central Hispano S.A.
Monte de Piedad y Caja General de Ahorros de Badajoz
Caja Rural de Baena
Caja Rural de Córdoba S.C.C.
Caja Rural de Granada S.C.A.
Caja Rural de Jaén
Caja Rural de Utrera S.C.A.C.
Caja Rural del Sur
Caja Rural Ntra. Madre del Sol
Caja Rural Ntra. Sra. del Campo
Cajasol - Monte de Piedad y Caja de Ahorros San Fernando de Huelva, Jerez y Sevilla
Caja Granada
Cajamar
Cajasur - Caja de Ahorros y Monte de Piedad de Córdoba
COAG Andalucía - Unión Agricultores y Ganaderos de Andalucía
SCA de 2º grado Entre Ríos
FAECA - Federación Andaluza de Empresas Cooperativas Agrarias
FEDEPROL Jaén Asociación Agraria
La Caixa - Caja de Ahorros y Pensiones De Barcelona
S.C.A. Oleoxa Aceites de Jaén
S.C.A.Olisierra, Ntra. Sra. Fuensanta
S.A.T. Oleomañán
S.C.A. San Amador
S.C.A. Aceites San Benito
S.A.T. Serranía de Ronda
UNAPROLIVA
Unicaja
UPA Andalucía - Unión de Pequeños Agricultores y Ganaderos de Andalucía
S.C.A. Virgen del Perpetuo Socorro
S.C.L. COATO
Federación de Arroceros de Sevilla
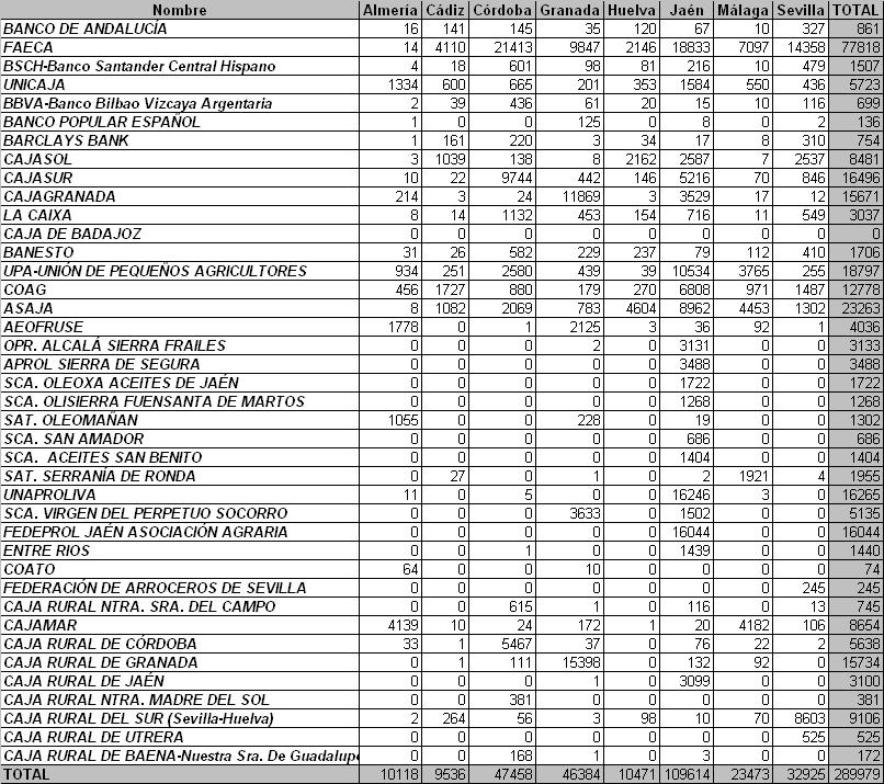
Número de solicitudes de ayuda presentadas por las Entidades Colaboradoras, separadas por provincia de registro (actualizado el 12/06/2009)
Versión Excel - Solicitudes 2009 por Entidad y Provincia
